Author details:
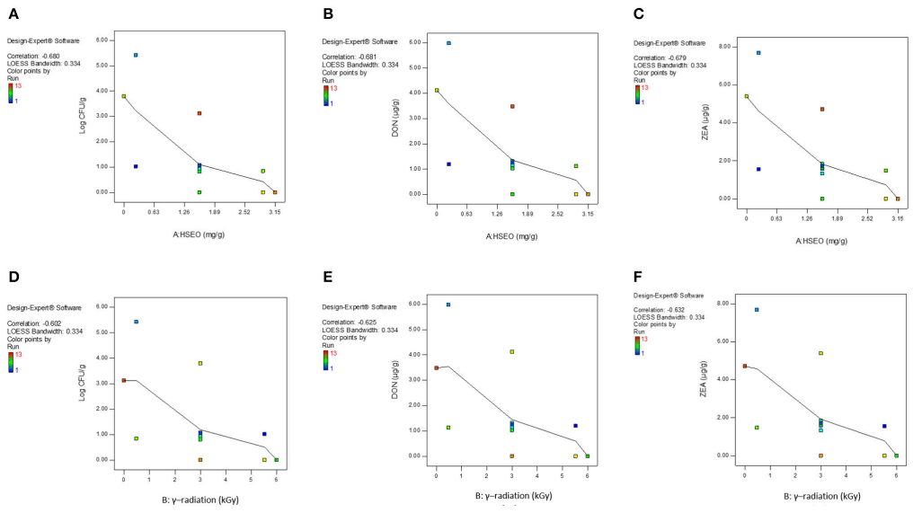
Nowadays, contamination of agricultural commodities with fungi and their mycotoxins is one of the most annoying with regard to food safety and pose serious health risk. Therefore, there is a requisite to propose suitable mitigation strategies to reduce the contamination of fungi and mycotoxins in agricultural commodities. In the present study, combinational inhibitory effect of Hedychium spicatum L. essential oil (HSEO) and radiation was established on growth rate, production of deoxynivalenol (DON) and zearalenone (ZEA) by Fusarium graminearum in maize grains. The HSEO was obtained from rhizomes by hydrodistillation technique and chemical composition was revealed by GC-MS analysis. A total of 48 compounds were identified and major compounds were 1,8-cineole (23.15%), linalool (12.82%), and β-pinene (10.06%). The discrete treatments of HSEO and radiation were effective in reducing the fungal growth rate and mycotoxins content, and the complete reduction was noticed at 3.15 mg/g of HSEO and 6 kGy of radiation. Response surface methodology (RSM) was applied to evaluate the combinational inhibitory effect of HSEO and radiation treatments on fungal growth rate and mycotoxins content. A total of 13 experiments were designed with distinct doses of HSEO and radiation by central composite design (CCD) of Stat-Ease Design-Expert software. In combinational approach, complete reductions of fungal growth, DON, and ZEA content were noticed at 1.89 mg/g of HSEO and 4.12 kGy of radiation treatments. The optimized design concluded that combinational treatments of HSEO and radiation were much more effective in reducing the fungal growth and mycotoxins content compared to their discrete treatments (p < 0.05). Responses of the design were assessed by second-order polynomial regression analysis and found that quadratic model was well fitted. The optimized design has larger F-value and adequate precision, smaller p-value, decent regression coefficients (R2) and found statistically significant (p < 0.05). In addition, correlation matrix, normal plot residuals, Box-Cox, and actual vs. predicted plots were endorsed that optimized design was accurate and appropriate. The proposed combinational decontamination technique could be highly applicable in agriculture and food industry to safeguard the food and feed products from fungi and mycotoxins.
Keywords: mycotoxins, Fusarium graminearum, Hedychium spicatum, deoxynivalenol, zearalenone, essential oil, γ-radiation, response surface methodology.











Adams, R. P. (2007). Identification of Essential Oil Components by Gas Chromatography/Mass Spectrometry. Carol Stream, IL: Allured Publishing Corporation.
Aiyaz, M., Thimmappa Divakara, S., Mudili, V., George Moore, G., Kumar Gupta, V., Chandra Nayaka, S., et al. (2016). Molecular diversity of seed-borne Fusarium species associated with Maize in India. Curr. Genom. 17, 132–144. doi: 10.2174/1389202917666151116213056
Akocak, P. B., Churey, J. J., and Worobo, R. W. (2015). Antagonistic effect of chitinolytic Pseudomonas and Bacillus on growth of fungal hyphae and spores of aflatoxigenic Aspergillus flavus. Food Biosci. 10, 48–58. doi: 10.1016/j.fbio.2015.01.005
Anderson, M. J., and Whitcomb, P. J. (2016). DOE Simplified: Practical Tools for Effective Experimentation. Boca Raton, FL: CRC Press.
Annunziata, L., Stramenga, A., Visciano, P., Schirone, M., De Colli, L., Colagrande, M. N., et al. (2017). Simultaneous determination of aflatoxins, T-2 and HT-2 toxins, and fumonisins in cereal-derived products by QuEChERS extraction coupled with LC-MS/MS. Anal. Bioanal. Chem. 409, 5143–5155. doi: 10.1007/s00216-017-0462-z
Atkinson, A. C., and Donev, A. N. (1992). Optimum Experimental Designs. Oxford, UK: Oxford Science Publications.
Aziz, N. H., Ferial, M., Shahin, A. A., and Roushy, S. M. (2007). Control of Fusarium moulds and fumonisin B 1 in seeds by gamma-irradiation. Food Control. 18, 1337–1342. doi: 10.1016/j.foodcont.2005.12.013
Bernhoft, A., Torp, M., Clasen, P. E., Løes, A. K., and Kristoffersen, A. B. (2012). Influence of agronomic and climatic factors on Fusarium infestation and mycotoxin contamination of cereals in Norway. Food Addit. Contaminants 29, 1129–1140. doi: 10.1080/19440049.2012.672476
Box, G. E. P., and, Cox, D. R. (1964). An analysis of transformation (with discussion). J. R. Statist. Soc. B26, 211–252.
Calado, T., Venâncio, A., and Abrunhosa, L. (2014). Irradiation for mold and mycotoxin control: a review. Comprehens. Rev. Food Sci. Food Safety 13, 1049–1061. doi: 10.1111/1541-4337.12095
CAST (Council for Agricultural Science and Technology) (2003). Mycotoxins: Risks in Plant, Animal and Human Systems. Task Force Report No. 139, CAST, Ames, IA. 199 pp.
Chatterjee, S., Variyar, P. S., Gholap, A. S., Padwal-Desai, S. R., and Bongirwar, D. R. (2000). Effect of γ-irradiation on the volatile oil constituents of turmeric (Curcuma longa). Food Res. Int. 33, 103–106. doi: 10.1016/S0963-9969(00)00012-0
Chee, H. Y., Kim, H., and Lee, M. H. (2009). In vitro antifungal activity of limonene against Trichophyton rubrum. Mycobiology 37, 243–246. doi: 10.4489/MYCO.2009.37.3.243
Chen, Y., Zeng, H., Tian, J., Ban, X., Ma, B., and Wang, Y. (2014). Dill (Anethum graveolens L.) seed essential oil induces Candida albicans apoptosis in a metacaspase-dependent manner. Fungal Biol. 118, 394–401. doi: 10.1016/j.funbio.2014.02.004
Council of Europe. (1997). “Methods of pharmacognosy” in European. Pharmacopoeia 3, 121–122.
da Cruz Cabral, L., Pinto, V. F., and Patriarca, A. (2013). Application of plant derived compounds to control fungal spoilage and mycotoxin production in foods. Int. J. Food Microbiol. 166, 1–14. doi: 10.1016/j.ijfoodmicro.2013.05.026
Deba, F., Xuan, T. D., Yasuda, M., and Tawata, S. (2008). Chemical composition and antioxidant, antibacterial and antifungal activities of the essential oils from Bidens pilosa Linn. var. Radiata. Food Control 19, 346–352. doi: 10.1016/j.foodcont.2007.04.011
de Campos, S. X., Sanches, S. M., Falone, S. Z., and Vieira, E. M. (2004). Influence of rate dose in the degradation of the 2, 4 dichlorophenoxyacetic acid (2, 4-D) herbicide in water and methanol by gamma radiation from cobalto-60. Eclética Química 29, 41–46. doi: 10.1590/S0100-46702004000100005
Divakara, S. T., Santosh, P., Aiyaz, M., Venkata Ramana, M., Hariprasad, P., Nayaka, S. C., et al. (2014). Molecular identification and characterization of Fusarium spp. associated with sorghum seeds. J. Sci. Food Agric. 94, 1132–1139. doi: 10.1002/jsfa.6380
Du, M., Liu, Y., and Zhang, G. (2017). Interaction of aflatoxin B1 and fumonisin B1 in HepG2 cell apoptosis. Food Biosci. 20, 131–140. doi: 10.1016/j.fbio.2017.09.003
Ferreira-Castro, F. L., Aquino, S., Greiner, R., Ribeiro, D. H. B., Reis, T. A., and Correa, B. (2007). Effects of gamma radiation on maize samples contaminated with Fusarium verticillioides. Appl. Radiat. Isotopes 65, 927–933. doi: 10.1016/j.apradiso.2007.03.011
Gao, T., Zhou, H., Zhou, W., Hu, L., Chen, J., and Shi, Z. (2016). The fungicidal activity of thymol against Fusarium graminearum via inducing lipid peroxidation and disrupting ergosterol biosynthesis. Molecules 21:E770. doi: 10.3390/molecules21060770
George, E., Kasipandi, M., Vekataramana, M., Kumar, K. N., Allen, J. A., Parimelazhagan, T., et al. (2016). In vitro anti-oxidant and cytotoxic analysis of Pogostemon mollis Benth. Bangladesh J. Pharmacol. 11, 148–158. doi: 10.3329/bjp.v11i1.24157
Ghosh, P. K., Bhattacharjee, P., and Das, S. (2017). Extension of shelf life of tuberose flowers using a combination of gamma irradiation and generally regarded as safe (GRAS) preservatives and assessment of antimicrobial potency of senesced flowers. J. Hortic. Sci. Biotechnol. 92, 130–145. doi: 10.1080/14620316.2016.1234340
Gobbo-Neto, L., and Lopes, N. P. (2007). Medicinal plants: factors of influence on the content of secondary metabolites. Quimica Nova 30, 374–381. doi: 10.1590/S0100-40422007000200026
Gonçalves, R. A., Navarro-Guillén, C., Gilannejad, N., Dias, J., Schatzmayr, D., Bichl, G., et al. (2018). Impact of deoxynivalenol on rainbow trout: growth performance, digestibility, key gene expression regulation and metabolism. Aquaculture 490, 362–372. doi: 10.1016/j.aquaculture.2018. 03.001
Haddad, M., Herent, M. F., Tilquin, B., and Quetin-Leclercq, J. (2007). Effect of gamma and e-beam radiation on the essential oils of Thymus vulgaris thymoliferum, Eucalyptus radiata, and Lavandula angustifolia. J. Agric. Food Chem. 55, 6082–6086. doi: 10.1021/jf063540+
Hossain, F., Follett, P., Vu, K. D., Salmieri, S., Senoussi, C., and Lacroix, M. (2014). Radiosensitization of Aspergillus niger and Penicillium chrysogenum using basil essential oil and ionizing radiation for food decontamination. Food Control 45, 156–162. doi: 10.1016/j.foodcont.2014.04.022
Hyldgaard, M., Mygind, T., and Meyer, R. L. (2012). Essential oils in food preservation: mode of action, synergies, and interactions with food matrix components. Front. Microbiol. 3:12. doi: 10.3389/fmicb.2012.00012
IARC. (1999). Overall Evaluations of Carcinogenicity to Humans. International Agency for Research on Cancer. IARC Monographs 1–73, 1–36.
IAEA. (2001). “Consumer acceptance and market development of irradiated food in Asia and the Pacific. IAEA TECDOC-1219,” in Proceedings of the Final Research Co-Ordination Meeting (Leuven), 24–28.
Iram, W., Anjum, T., Iqbal, M., Ghaffar, A., and Abbas, M. (2016). Structural elucidation and toxicity assessment of degraded products of Aflatoxin B1 and B2 by aqueous extracts of Trachyspermum ammi. Front. Microbiol. 7:346. doi: 10.3389/fmicb.2016.00346
Jeong, R. D., Chu, E. H., Shin, E. J., Lee, E. S., Kwak, Y. S., and Park, H. J. (2015). Antifungal effect of gamma irradiation and sodium dichloroisocyanurate against Penicillium expansum on pears. Lett. Appl. Microbiol. 61, 437–445. doi: 10.1111/lam.12466
Ji, F., Xu, J., Liu, X., Yin, X., and Shi, J. (2014). Natural occurrence of deoxynivalenol and zearalenone in wheat from jiangsu province, China. Food Chem. 157, 393–397. doi: 10.1016/j.foodchem.2014.02.058
Joshi, S., Chanotiya, C. S., Agarwal, G., Prakash, O., Pant, A. K., and Mathela, C. S. (2008). Terpenoid compositions, and antioxidant and antimicrobial properties of the rhizome essential oils of different Hedychium species. Chem. Biodivers. 5, 299–309. doi: 10.1002/cbdv.200890027
Kalagatur, N. K., Ghosh, O. S. N., Sundararaj, N., and Mudili, V. (2018a). Antifungal activity of chitosan nanoparticles encapsulated with Cymbopogon martinii essential oil on plant pathogenic fungi Fusarium graminearum. Front. Pharmacol. 9:610. doi: 10.3389/fphar.2018.00610
Kalagatur, N. K., Kamasani, J. R., Mudili, V., Krishna, K., Chauhan, O. P., and Sreepathi, M. H. (2018b). Effect of high pressure processing on growth and mycotoxin production of Fusarium graminearum in maize. Food Biosci. 21, 53–59. doi: 10.1016/j.fbio.2017.11.005
Kalagatur, N. K., Karthick, K., Allen, J. A., Nirmal Ghosh, O. S., Chandranayaka, S., Gupta, V. K., et al. (2017). Application of activated carbon derived from seed shells of jatropha curcas for decontamination of zearalenone mycotoxin. Front. Pharmacol. 8:760. doi: 10.3389/fphar.2017.00760
Kalagatur, N. K., Mudili, V., Siddaiah, C., Gupta, V. K., Natarajan, G., Sreepathi, M. H., et al. (2015). Antagonistic activity of Ocimum sanctum L. essential oil on growth and zearalenone production by Fusarium graminearum in maize grains. Front. Microbiol. 6:892. doi: 10.3389/fmicb.2015.00892.
Kanapitsas, A., Batrinou, A., Aravantinos, A., Sflomos, C., and Markaki, P. (2016). Gamma radiation inhibits the production of Ochratoxin A by Aspergillus carbonarius. Development of a method for OTA determination in raisins. Food Biosci. 15, 42–48. doi: 10.1016/j.fbio.2016.05.001
Koul, S., Raina, V., and Sharma, S. K. (2005). Conservation and propagation of high altitude medicinal and aromatic plant: Hedychium spicatum. J. Plant Biochem. Biotechnol. 14, 57–59. doi: 10.1007/BF03263227
Kretschmer, M., Leroch, M., Mosbach, A., Walker, A. S., Fillinger, S., Mernke, D., et al. (2009). Fungicide-driven evolution and molecular basis of multidrug resistance in field populations of the grey mould fungus Botrytis cinerea. PLoS Pathogens 5:e1000696. doi: 10.1371/journal.ppat.1000696
Kumar, K. N., Venkataramana, M., Allen, J. A., Chandranayaka, S., Murali, H. S., and Batra, H. V. (2016). Role of Curcuma longa L. essential oil in controlling the growth and zearalenone production of Fusarium graminearum. LWT-Food Sci. Technol. 69, 522–528. doi: 10.1016/j.lwt.2016.02.005
Lacroix, M., and Ouattara, B. (2000). Combined industrial processes with irradiation to assure innocuity and preservation of food products—a review. Food Res. Int. 33, 719–724. doi: 10.1016/S0963-9969(00)00085-5
Le Caër, S. (2011). Water radiolysis: influence of oxide surfaces on H2 production under ionizing radiation. Water 3, 235–253. doi: 10.3390/w3010235
Lima, K. D. S. C., e Souza, L. B., de Oliveira Godoy, R. L., França, T. C. C., and dos Santos Lima, A. L. (2011). Effect of gamma irradiation and cooking on cowpea bean grains (Vigna unguiculata L. Walp). Radiat. Phys. Chem. 80, 983–989. doi: 10.1016/j.radphyschem.2011.04.011
Maherani, B., Hossain, F., Criado, P., Ben-Fadhel, Y., Salmieri, S., and Lacroix, M. (2016). World market development and consumer acceptance of irradiation technology. Foods 5:79. doi: 10.3390/foods5040079
Mallmann, C. A., Dilkin, P., Mallmann, A. O., Oliveira, M. S., Adaniya, Z. N. C., and Tonini, C. (2017). Prevalence and levels of deoxynivalenol and zearalenone in commercial barley and wheat grain produced in Southern Brazil: an eight-year (2008 to 2015) summary. Trop. Plant Pathol. 42, 146–152. doi: 10.1007/s40858-017-0152-6
Mishra, S., Ansari, K. M., Dwivedi, P. D., Pandey, H. P., and Das, M. (2013). Occurrence of deoxynivalenol in cereals and exposure risk assessment in Indian population. Food Control 30, 549–555. doi: 10.1016/j.foodcont.2012. 07.041
Mudili, V., Siddaih, C. N., Nagesh, M., Garapati, P., Naveen Kumar, K., Murali, H. S., et al. (2014). Mould incidence and mycotoxin contamination in freshly harvested maize kernels originated from India. J. Sci. Food Agric. 94, 2674–2683. doi: 10.1002/jsfa.6608
Muniyandi, K., George, E., Mudili, V., Kalagatur, N. K., Anthuvan, A. J., Krishna, K., et al. (2017). Antioxidant and anticancer activities of Plectranthus stocksii Hook. f. leaf and stem extracts. Agric. Nat. Res. 51, 63–73. doi: 10.1016/j.anres.2016.07.007
Muthulakshmi, S., Maharajan, K., Habibi, H. R., Kadirvelu, K., and Venkataramana, M. (2018). Zearalenone induced embryo and neurotoxicity in zebrafish model (Danio rerio): role of oxidative stress revealed by a multi biomarker study. Chemosphere 198, 111–121. doi: 10.1016/j.chemosphere.2018.01.141
Myers, R. H., Montgomery, D. C., and Anderson-Cook, C. M. (2016). Response Surface Methodology: Process and Product Optimization Using Designed Experiments. Hoboken, NJ: John Wiley & Sons.
Pasquali, M., Beyer, M., Logrieco, A., Audenaert, K., Balmas, V., Basler, R., et al. (2016). A European database of Fusarium graminearum and F. culmorum trichothecene genotypes. Front. Microbiol. 7:406. doi: 10.3389/fmicb.2016.00406
Pawar, V. C., and Thaker, V. S. (2006). In vitro efficacy of 75 essential oils against Aspergillus niger. Mycoses 49, 316–323. doi: 10.1111/j.1439-0507.2006.01241.x Pitt, J. I., and Hockings, A. D. (2009). Fungi and Food spoilage, 3rd Edn. New York, NY: Springer.
Ramana, M. V., Balakrishna, K., Murali, H. C. S., and Batra, H. V. (2011). Multiplex PCR-based strategy to detect contamination with mycotoxigenic Fusarium species in rice and fingermillet collected from southern India. J. Sci. Food Agric. 91, 1666–1673. doi: 10.1002/jsfa.4365
Ramsdale, M. (2008). Programmed cell death in pathogenic fungi. Biochim. Biophys. Acta 1783, 1369–1380. doi: 10.1016/j.bbamcr.2008.01.021
Reddy, K. E., Lee, W., young Jeong, J., Lee, Y., Lee, H. J., Kim, M. S., et al. (2018). Effects of deoxynivalenol-and zearalenone-contaminated feed on the gene expression profiles in the kidneys of piglets. Asian-australas. J. Anim. Sci. 31, 138–148. doi: 10.5713/ajas.17.0454
Reddy, K. J., Jayathilakan, K., and Pandey, M. C. (2015). Effect of ionizing radiation on the protein and lipid quality characteristics of mutton kheema treated with rice bran oil and sunflower oil. Radiat. Phys. Chem. 117, 217–224. doi: 10.1016/j.radphyschem.2015.09.002
Sabulal, B., George, V., Dan, M., and Pradeep, N. S. (2007). Chemical composition and antimicrobial activities of the essential oils from the rhizomes of four Hedychium species from South India. J. Essent. Oil Res. 19, 93–97. doi: 10.1080/10412905.2007.9699237
Schirone, M., Visciano, P., Tofalo, R., and Suzzi, G. (2016). Biological hazards in food. Front. Microbiol. 7:2154. doi: 10.3389/fmicb.2016.02154
Schumann, B., Winkler, J., Mickenautsch, N., Warnken, T., and Dänicke, S. (2016). Effects of deoxynivalenol (DON), zearalenone (ZEN), and related metabolites on equine peripheral blood mononuclear cells (PBMC) in vitro and background occurrence of these toxins in horses. Mycotoxin Res. 32, 153–161. doi: 10.1007/s12550-016-0250-1
Sellamani, M., Kalagatur, N. K., Siddaiah, C., Mudili, V., Krishna, K., Natarajan, G., et al. (2016). Antifungal and zearalenone inhibitory activity of Pediococcus pentosaceus isolated from dairy products on Fusarium graminearum. Front. Microbiol. 7:890. doi: 10.3389/fmicb.2016.00890
Sirocchi, V., Devlieghere, F., Peelman, N., Sagratini, G., Maggi, F., Vittori, S., et al. (2017). Effect of Rosmarinus officinalis L. essential oil combined with different packaging conditions to extend the shelf life of refrigerated beef meat. Food Chem. 221, 1069–1076. doi: 10.1016/j.foodchem.2016.11.054
Tian, J., Ban, X., Zeng, H., He, J., Chen, Y., and Wang, Y. (2012). The mechanism of antifungal action of essential oil from dill (Anethum graveolens L.) on Aspergillus flavus. PLoS ONE 7:e30147. doi: 10.1371/journal.pone.00 30147
Tima, H., Berkics, A., Hannig, Z., Ittzés, A., Kecskésné Nagy, E., MohácsiFarkas, C., et al. (2018). Deoxynivalenol in wheat, maize, wheat flour and pasta: surveys in Hungary in 2008–2015. Food Addit. Contamin. 11, 37–42. doi: 10.1080/19393210.2017.1397061
Tralamazza, S. M., Bemvenuti, R. H., Zorzete, P., de Souza Garcia, F., and Corrêa, B. (2016). Fungal diversity and natural occurrence of deoxynivalenol and zearalenone in freshly harvested wheat grains from Brazil. Food Chem. 196, 445–450. doi: 10.1016/j.foodchem.2015.09.063
Udomkun, P., Wiredu, A. N., Nagle, M., Bandyopadhyay, R., Müller, J., and Vanlauwe, B. (2017). Mycotoxins in Sub-Saharan Africa: present situation, socio-economic impact, awareness, and outlook. Food Control 72, 110–122. doi: 10.1016/j.foodcont.2016.07.039
Usta, J., Kreydiyyeh, S., Knio, K., Barnabe, P., Bou-Moughlabay, Y., and Dagher, S. (2009). Linalool decreases HepG2 viability by inhibiting mitochondrial complexes I and II, increasing reactive oxygen species and decreasing ATP and GSH levels. Chem. Biol. Interact. 180, 39–46. doi: 10.1016/j.cbi.2009.02.012
Van Vuuren, S. F., and Viljoen, A. M. (2007). Antimicrobial activity of limonene enantiomers and 1, 8-cineole alone and in combination. Flavour Fragr. J. 22, 540–544. doi: 10.1002/ffj.1843
Velluti, A., Sanchis, V., Ramos, A. J., Egido, J., and Mari, S. (2003). Inhibitory effect of cinnamon, clove, lemongrass, oregano and palmarose essential oils on growth and fumonisin B 1 production by Fusarium proliferatum in maize grain. Int. J. Food Microbiol. 89, 145–154. doi: 10.1016/S0168-1605(03)00116-8
Venkataramana, M., Nayaka, S. C., Anand, T., Rajesh, R., Aiyaz, M., Divakara, S. T., et al. (2014). Zearalenone induced toxicity in SHSY-5Y cells: the role of oxidative stress evidenced by N-acetyl cysteine. Food Chem. Toxicol. 65, 335–342. doi: 10.1016/j.fct.2013.12.042
Vilela, G. R., de Almeida, G. S., D’Arce, M. A. B. R., Moraes, M. H. D., Brito, J. O., da Silva, M. F. D. G., et al. (2009). Activity of essential oil and its major compound, 1, 8-cineole, from Eucalyptus globulus Labill. against the storage fungi Aspergillus flavus Link and Aspergillus parasiticus Speare. J. Stored Prod. Res. 45, 108–111. doi: 10.1016/j.jspr.2008.10.006
Whitcomb, P. J., and Anderson, M. J. (2004). RSM Simplified: Optimizing Processes Using Response Surface Methods for Design of Experiments. Boca Raton, FL: CRC Press.
Wilson, M. D., Stanley, R. A., Eyles, A., and Ross, T. (2017). Innovative processes and technologies for modified atmosphere packaging of fresh and fresh-cut fruits and vegetables. Crit. Rev. Food Sci. Nutr. 1–12. doi: 10.1080/10408398.2017.1375892
Wilson, W., Dahl, B., and Nganje, W. (2018). Economic costs of fusarium head blight, scab and deoxynivalenol. World Mycotoxin J. 11, 291–302. doi: 10.3920/WMJ2017.2204
Wu, L., Qiu, L., Zhang, H., Sun, J., Hu, X., and Wang, B. (2017). Optimization for the production of deoxynivalenol and zearalenone by Fusarium graminearum using response surface methodology. Toxins 9:57. doi: 10.3390/toxins9020057
Xu, L. L., Wen, Y. Q., Liu, Y. L., and Ma, Y. X. (2018). Occurrence of deoxynivalenol in maize germs from North China Plain and the distribution of deoxynivalenol in the processed products of maize germs. Food Chem. 198, 111–121. doi: 10.1016/j.foodchem.2018.05.111
Zinedine, A., Soriano, J. M., Molto, J. C., and Manes, J. (2007). Review on the toxicity, occurrence, metabolism, detoxification, regulations and intake of zearalenone: an oestrogenic mycotoxin. Food Chem. Toxicol. 45, 1–18. doi: 10.1016/j.fct.2006.07.030
