Explore

Advertise on Engormix

Investigation into the relationship between production traits in individually caged early-lay ISA Brown hens

Published: October 6, 2025
Source : B. NOLAN 1, S. GREENHALGH 2, Y. AKTER 2, D. ANENE 3 and C.J. O’SHEA 3 / 1 Independent researcher; 2 Faculty of Veterinary Science, University of Sydney; 3 School of Biosciences, University of Nottingham.
In commercial egg production, production traits such as bodyweight (BW), feed intake and efficiency, and egg quality are targets that are critical to profitability. Assessment of average BW and uniformity are relatively straightforward measurements. Furthermore, it is well known that achieving target BW for the breed standard and minimising BW variation are key to producing greater egg mass and egg quality. It is more difficult to get an understanding of the variation in feed intake, egg production and feed efficiency in flocks and the relationships between these traits. The aim of this study was to evaluate the uniformity in a range of production variables and explore relationships between them.
Three hundred ISA Brown hens were housed individually in cages at point of lay. Hens were offered ad libitum access to a common wheat-soybean meal mash diet formulated to meet requirements for ISA Brown hens in early lay. Management conditions were the same for all birds as suggested by the breed standard. At 28 weeks of age, feed intake assessments were carried out weekly, and egg mass and weight daily for 6 weeks. BW was recorded at the conclusion of the experimental period. Hens with an average percentage lay of below 85% (> 2 standard deviations less than the average) were excluded from the study (13 birds). The average BW of the birds at the conclusion of the study was 2 kg, CV 8.3% while the average feed conversion ratio (FCR) was 1.90, CV of 8.2%. Average daily voluntary feed intake was 119g, CV 9.2%.
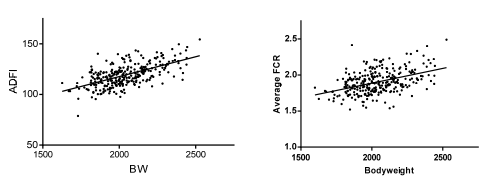
The average percentage lay was 97.5%, CV 3.2%. The average egg weight was 64.4g, CV 6.4%. The average egg mass was 62.8g, CV 6.4%. Pearson’s correlations were conducted between production variables of relevance. There was a moderate positive association between final BW and average daily feed intake (ADFI; Fig. 1, r = 0.60, P< 0.001) and between BW and FCR (Fig 2, r = 0.44, P< 0.001). There was also a positive relationship between BW and egg weight (r = 0.35, P< 0.001).
Figure 1 & 2 - Correlation between BW and ADFI and BW and FCR respectively
Figure 1 & 2 - Correlation between BW and ADFI and BW and FCR respectively
Using individually housed hens, this study provides some simple data on the uniformity of production targets which are not calculable on a flock basis. The average hen BW was greater than the breed standard at 2kg versus ~1.87-1.9 kg for hens 30-34 weeks of age. There was a positive correlation between BW and FCR which suggests rationale for controlling BW in line with the breed standard.
   
Presented at the 29th Annual Australian Poultry Science Symposium 2018. For information on the latest and future editions, click here.
Content from the event:
Related topics:
Authors:
Cormac O´Shea
The University of Sydney
The University of Sydney
Shiva Greenhalgh
The University of Sydney
The University of Sydney
Yeasmin Akter
The University of Sydney
The University of Sydney
Doreen Anene
Show more
Recommend
Comment
Share
Profile picture
Would you like to discuss another topic? Create a new post to engage with experts in the community.
Featured users in Poultry Industry
Dr. Algis Martínez
Dr. Algis Martínez
Cargill
Cargill
DVM, Diplomado ACPV - Poultry Veterinarian North America Cargill
United States
Ana Maria Villegas-Gamble
Ana Maria Villegas-Gamble
Pilgrim´s
DVM, MS, Ph.D. / Directora de Nutrición
United States
Jose Salazar
Jose Salazar
Grupo Nutec
United States