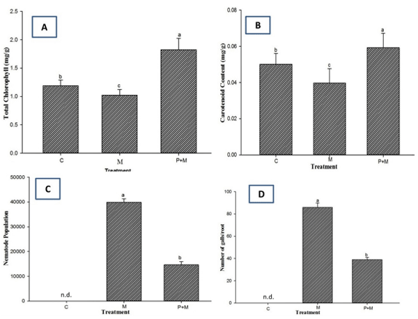
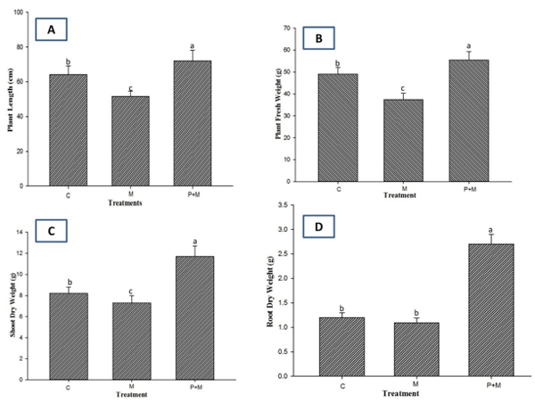
Purpureocillium lilacinum is a biocontrol Ascomycota fungus against various plant pathogens. In the present study, the efficacy of P. lilacinum was evaluated against a root-knot nematode, Meloidogyne incognita that infects eggplants. We performed an in vitro experiment in which the direct effects of P. lilacinum on the second-stage juvenile survival and egg hatching of M. incognita were tested at different exposure times. The results showed that P. lilacinum significantly reduced the rates of egg hatching and juvenile survival in a dosedependent manner. Microscopic observation demonstrated that P. lilacinum directly penetrated the eggs and contacted the juveniles, indicating how P. lilacinum parasitizes M. incognita. We also performed a pot assay in which soil-grown eggplants were treated with P. lilacinum followed by inoculation with M. incognita. The results indicated that P. lilacinum effectively reduced the nematode population and the number of galls in plant roots. Interestingly, application of P. lilacinum resulted in significant enhancements in plant growth and biomass, even under nematode infection, while it improved plant photosynthetic pigments, i.e., chlorophyll and carotenoids. Taken together, our study suggested that P. lilacinum can be used as a plant growth-promoting fungus and a biological nematicide for disease management of root-knot nematodes in eggplants.







1. Whipps JM. Developments in the Biological Control of Soil-borne Plant Pathogens. In: Callow JA, editor. Advances in Botanical Research. Academic Press; 1997. pp. 1–134. https://doi.org/10.1016/S0065- 2296(08)60119-6
2. Mora-Romero GA, Fe´lix-Gaste´lum R, Bomberger RA, Romero-Urı´as C, Tanaka K. Common potato disease symptoms: ambiguity of symptom-based identification of causal pathogens and value of on-site molecular diagnostics. J Gen Plant Pathol. 2022; 88: 89–104. https://doi.org/10.1007/s10327-021- 01045-2
3. Braley LE, Jewell JB, Figueroa J, Humann J, Main D, Mora-Romero GA, et al. Nanopore sequencing with GraphMap for comprehensive pathogen detection in potato field soil. Plant Disease. 2023 [cited 28 Feb 2023]. https://doi.org/10.1094/PDIS-01-23-0052-SR PMID: 36724099
4. Fatima S, Khan F, Asif M, Alotaibi SS, Islam K, Shariq M, et al. Root-Knot Disease Suppression in Eggplant Based on Three Growth Ages of Ganoderma lucidum. Microorganisms. 2022; 10: 1068. https:// doi.org/10.3390/microorganisms10051068 PMID: 35630510
5. Liang J, Zheng J. Advances of studies on biological control of vegetable root-knot nematode in installation cultivation. Chin Agric Sci Bull. 2010; 26: 290–293.
6. Mesa-Valle CM, Garrido-Cardenas JA, Cebrian-Carmona J, Talavera M, Manzano-Agugliaro F. Global Research on Plant Nematodes. Agronomy. 2020; 10: 1148. https://doi.org/10.3390/ agronomy10081148
7. Siddique S, Grundler FM. Parasitic nematodes manipulate plant development to establish feeding sites. Current Opinion in Microbiology. 2018; 46: 102–108. https://doi.org/10.1016/j.mib.2018.09.004 PMID: 30326406
8. Poveda J, Abril-Urias P, Escobar C. Biological Control of Plant-Parasitic Nematodes by Filamentous Fungi Inducers of Resistance: Trichoderma, Mycorrhizal and Endophytic Fungi. Frontiers in Microbiology. 2020; 11. Available: https://www.frontiersin.org/articles/10.3389/fmicb.2020.00992 https://doi.org/ 10.3389/fmicb.2020.00992 PMID: 32523567
9. Bali S, Zhang L, Franco J, Gleason C. Biotechnological advances with applicability in potatoes for resistance against root-knot nematodes. Current Opinion in Biotechnology. 2021; 70: 226–233. https://doi. org/10.1016/j.copbio.2021.06.010 PMID: 34217954
10. Prasad P, Varshney D, Adholeya A. Whole genome annotation and comparative genomic analyses of bio-control fungus Purpureocillium lilacinum. BMC Genomics. 2015; 16: 1004. https://doi.org/10.1186/ s12864-015-2229-2 PMID: 26607873
11. Girardi NS, Sosa AL, Etcheverry MG, Passone MA. In vitro characterization bioassays of the nematophagous fungus Purpureocillium lilacinum: Evaluation on growth, extracellular enzymes, mycotoxins and survival in the surrounding agroecosystem of tomato. Fungal Biology. 2022; 126: 300–307. https:// doi.org/10.1016/j.funbio.2022.02.001 PMID: 35314061
12. Barbosa BB, Pimentel JP, Rodovalho NS, Bertini SCB, Kumar A, Ferreira LFR, et al. Ascomycetous isolates promote soil biological and nutritional attributes in corn and soybeans in sandy and clayey soils. Rhizosphere. 2022; 24: 100625. https://doi.org/10.1016/j.rhisph.2022.100625
13. Baron NC, Pollo A de S, Rigobelo EC. Purpureocillium lilacinum and Metarhizium marquandii as plant growth-promoting fungi. PeerJ. 2020; 8: e9005. https://doi.org/10.7717/peerj.9005 PMID: 32518715
14. Samson RA. Paecilomyces and some allied hyphomycetes. Studies in Mycology. 1974; 6: 1–119.
15. Domsch KH, Anderson T-H, Gams W. Compendium of soil fungi. Reprint der Ausg. von 1980. Berlin: IHW-Verlag; 1993.
16. Thom C. Cultural studies of species of Penicillium. Washington, D.C.: Bulletin of the U.S. Department of Agriculture, Bureau Animal Industry; 1910.
17. Atkins SD, Clark IM, Pande S, Hirsch PR, Kerry BR. The use of real-time PCR and species-specific primers for the identification and monitoring of Paecilomyces lilacinus. FEMS Microbiology Ecology. 2005; 51: 257–264. https://doi.org/10.1016/j.femsec.2004.09.002 PMID: 16329874
18. Hajji L, Hlaoua W, Regaieg H, Horrigue-Raouani N. Biocontrol Potential of Verticillium leptobactrum and Purpureocillium lilacinum Against Meloidogyne javanica and Globodera pallida on Potato (Solanum tuberosum). Am J Potato Res. 2017; 94: 178–183. https://doi.org/10.1007/s12230-016-9554-0
19. Fiedler Ż, Sosnowska D. Nematophagous fungus Paecilomyces lilacinus (Thom) Samson is also a biological agent for control of greenhouse insects and mite pests. BioControl. 2007; 52: 547–558. https:// doi.org/10.1007/s10526-006-9052-2
20. Goffre´ D, Folgarait PJ. Purpureocillium lilacinum, potential agent for biological control of the leaf-cutting ant Acromyrmex lundii. J Invertebr Pathol. 2015; 130: 107–115. https://doi.org/10.1016/j.jip.2015.07. 008 PMID: 26205173
21. Elbanhawy AA, Elsherbiny EA, Abd El-Mageed AE, Abdel-Fattah GM. Potential of fungal metabolites as a biocontrol agent against cotton aphid, Aphis gossypii Glover and the possible mechanisms of action. Pesticide Biochemistry and Physiology. 2019; 159: 34–40. https://doi.org/10.1016/j.pestbp. 2019.05.013 PMID: 31400782
22. Yang F, Abdelnabby H, Xiao Y. A mutant of the nematophagous fungus Paecilomyces lilacinus (Thom) is a novel biocontrol agent for Sclerotinia sclerotiorum. Microbial Pathogenesis. 2015; 89: 169–176. https://doi.org/10.1016/j.micpath.2015.10.012 PMID: 26521137
23. Lan X, Zhang J, Zong Z, Ma Q, Wang Y. Evaluation of the Biocontrol Potential of Purpureocillium lilacinum QLP12 against Verticillium dahliae in Eggplant. BioMed Research International. 2017; 2017: e4101357. https://doi.org/10.1155/2017/4101357 PMID: 28303252
24. Hu J, Hou S, Li M, Wang J, Wu F, Lin X. The better suppression of pepper Phytophthora blight by arbuscular mycorrhizal (AM) fungus than Purpureocillium lilacinum alone or combined with AM fungus. J Soils Sediments. 2020; 20: 792–800. https://doi.org/10.1007/s11368-019-02438-9
25. Khan M, Khan AU, Rafatullah M, Alam M, Bogdanchikova N, Garibo D. Search for Effective Approaches to Fight Microorganisms Causing High Losses in Agriculture: Application of P. lilacinum Metabolites and Mycosynthesised Silver Nanoparticles. Biomolecules. 2022; 12: 174. https://doi.org/10.3390/ biom12020174 PMID: 35204674
26. Riker AJ, Riker RS. Introduction to research on plant diseases. Swift, St. Louis. 1936.
27. Khan M, Siddiqui ZA. Interactions of Meloidogyne incognita, Ralstonia solanacearum and Phomopsis vexans on eggplant in sand mix and fly ash mix soils. Scientia Horticulturae. 2017; 225: 177–184. https://doi.org/10.1016/j.scienta.2017.06.016
28. Khan A, Williams KL, Nevalainen HKM. Control of plant-parasitic nematodes by Paecilomyces lilacinus and Monacrosporium lysipagum in pot trials. Biocontrol. 2006; 51: 643–658. https://doi.org/10.1007/ s10526-005-4241-y
29. Byrd DW, Kirkpatrick JRT, Barker KR. An Improved Technique for Clearing and Staining Plant Tissues for Detection of Nematodes. Journal of Nematology. 1983; 14: 142–143.
30. Hooper DJ, Hallmann J, Subbotin SA. Methods for extraction, processing and detection of plant and soil nematodes. Plant parasitic nematodes in subtropical and tropical agriculture. 2005; 53–86. https://doi. org/10.1079/9780851997278.0053
31. Southey JF, editor. Laboratory methods for work with plant and soil nematodes. 6th ed. London: HMSO; 1986.
32. Mackinney G. Absorption of light by chlorophyll solutions. Journal of biological chemistry. 1941; 140: 315–322.
33. Yang F, Abdelnabby H, Xiao Y. The role of a phospholipase (PLD) in virulence of Purpureocillium lilacinum (Paecilomyces lilacinum). Microbial Pathogenesis. 2015; 85: 11–20. https://doi.org/10.1016/j. micpath.2015.05.008 PMID: 26026833
34. Sarven MS, Aminuzzaman FM, Huq MdE. Dose-response relations between Purpureocillium lilacinum PLSAU-1 and Meloidogyne incognita infecting brinjal plant on plant growth and nematode management: a greenhouse study. Egyptian Journal of Biological Pest Control. 2019; 29: 26. https://doi.org/10. 1186/s41938-019-0128-6
35. Dahlin P, Eder R, Consoli E, Krauss J, Kiewnick S. Integrated control of Meloidogyne incognita in tomatoes using fluopyram and Purpureocillium lilacinum strain 251. Crop Protection. 2019; 124: 104874. https://doi.org/10.1016/j.cropro.2019.104874
36. Arthurs S, Dara SK. Microbial biopesticides for invertebrate pests and their markets in the United States. Journal of Invertebrate Pathology. 2019; 165: 13–21. https://doi.org/10.1016/j.jip.2018.01.008 PMID: 29402394
37. Abd-Elgawad MMM. Optimizing biological control agents for controlling nematodes of tomato in Egypt. Egypt J Biol Pest Control. 2020; 30: 58. https://doi.org/10.1186/s41938-020-00252-x
38. Pau CG, Leong CTS, Wongt SK, Eng L, Kundat R. Isolation of Indigenous Strains of Paecilomyces lilacinus with. Int J Agric Biol. 2012; 14.
39. Kiewnick S, Neumann S, Sikora RA, Frey JE. Effect of Meloidogyne incognita Inoculum Density and Application Rate of Paecilomyces lilacinus Strain 251 on Biocontrol Efficacy and Colonization of Egg Masses Analyzed by Real-Time Quantitative PCR. Phytopathology®. 2011; 101: 105–112. https://doi. org/10.1094/PHYTO-03-10-0090 PMID: 20822430
40. Wang G, Liu Z, Lin R, Li E, Mao Z, Ling J, et al. Biosynthesis of Antibiotic Leucinostatins in Bio-control Fungus Purpureocillium lilacinum and Their Inhibition on Phytophthora Revealed by Genome Mining. PLOS Pathogens. 2016; 12: e1005685. https://doi.org/10.1371/journal.ppat.1005685 PMID: 27416025
41. Dong L q., Yang J k., Zhang K q. Cloning and phylogenetic analysis of the chitinase gene from the facultative pathogen Paecilomyces lilacinus. Journal of Applied Microbiology. 2007; 103: 2476–2488. https:// doi.org/10.1111/j.1365-2672.2007.03514.x PMID: 18045433
42. Yang J, Zhao X, Liang L, Xia Z, Lei L, Niu X, et al. Overexpression of a cuticle-degrading protease Ver112 increases the nematicidal activity of Paecilomyces lilacinus. Appl Microbiol Biotechnol. 2011; 89: 1895–1903. https://doi.org/10.1007/s00253-010-3012-6 PMID: 21110018
43. Bonants PJM, Fitters PFL, Thijs H, Belder E den, Waalwijk C, Henfling JWDMY 1995. A basic serine protease from Paecilomyces lilacinus with biological activity against Meloidogyne hapla eggs. Microbiology. 141: 775–784. https://doi.org/10.1099/13500872-141-4-775 PMID: 7773385
44. Xu W-F, Yang J-L, Meng X-K, Gu Z-G, Zhang Q-L, Lin L-B. Understanding the Transcriptional Changes During Infection of Meloidogyne incognita Eggs by the Egg-Parasitic Fungus Purpureocillium lilacinum. Frontiers in Microbiology. 2021; 12. Available: https://www.frontiersin.org/articles/10.3389/fmicb.2021. 617710
45. Xie J, Li S, Mo C, Xiao X, Peng D, Wang G, et al. Genome and Transcriptome Sequences Reveal the Specific Parasitism of the Nematophagous Purpureocillium lilacinum 36–1. Front Microbiol. 2016; 7. https://doi.org/10.3389/fmicb.2016.01084 PMID: 27486440
46. Park J-O, Hargreaves J r., McConville E j., Stirling G r., Ghisalberti E l., Sivasithamparam K. Production of leucinostatins and nematicidal activity of Australian isolates of Paecilomyces lilacinus (Thom) Samson. Letters in Applied Microbiology. 2004; 38: 271–276. https://doi.org/10.1111/j.1472-765X.2004. 01488.x PMID: 15214724
47. Madariaga-Mazo´n A, Gonza´lez M, del M, Gonza´lez C, Cerda C, Mata R. Absolute Configuration of Acremoxanthone C, a Potent Calmodulin Inhibitor from Purpureocillium lilacinum. Planta Med. 2013; 79: s-0033-1348645. https://doi.org/10.1055/s-0033-1348645
48. Teles APC, Takahashi JA. Paecilomide, a new acetylcholinesterase inhibitor from Paecilomyces lilacinus. Microbiological Research. 2013; 168: 204–210. https://doi.org/10.1016/j.micres.2012.11.007 PMID: 23219197
49. de Sequeira DCM, Menezes RC, Oliveira MME, Antas PRZ, De Luca PM, Oliveira-Ferreira J de, et al. Experimental Hyalohyphomycosis by Purpureocillium lilacinum: Outcome of the Infection in C57BL/6 Murine Models. Frontiers in Microbiology. 2017; 8. Available: https://www.frontiersin.org/articles/10. 3389/fmicb.2017.01617
50. Frederiks C, Wesseler JH. A comparison of the EU and US regulatory frameworks for the active substance registration of microbial biological control agents. Pest Management Science. 2019; 75: 87–103. https://doi.org/10.1002/ps.5133 PMID: 29962019
